一、名词解释:(每题5分)
- 1.冲压模具
在冷冲压加工中,将材料(金属或非金属)加工成零件(或半成品)的一种特殊工艺装备,称为冷冲压模具(俗称冷冲模) - 2.冲裁模
沿封闭或敞开的轮廓线使材料产生分离的模具。如落料模、冲孔模、切断模、切口模、切边模、剖切模等。 - 3.落料
冲裁后若以封闭曲线以内的部分为零件称为落料。 - 4.单工序模
在压力机的一次行程中,只完成一道冲压工序的模具。 - 5.复合模
只有一个工位,在压力机的一次行程中,在同一工位上同时完成两道或两道以上冲压工序的模具。 - 6.级进模
在毛坯的送进方向上,具有两个或更多的工位,在压力机的一次行程中,在不同的工位上逐次完成两道或两道以上冲压工序的模具。 - 7.模具的闭合高度
模具的闭合高度是指冲模在最低工作位置时,上模座上平面至下模座下平面之间的距离。 - 8.冲裁间隙
答:指冲裁模中凹模刃口横向尺寸DA与凸模刃口横向尺寸dT的差值。 - 9.冲模压力中心
答:模具的压力中心就是冲压力合力的作用点。为了保证压力机和模具的正常工作,应使模具的压力中心与压力机滑块的中心线相重合。 - 10.正装式复合模
答:凸凹模安装在上模,落料凹模和冲孔凸模装在下模的复合冲裁模。 - 11.倒装式复合模
答:凸凹模安装在下模,落料凹模和冲孔凸模装在上模的复合冲裁模。 - 12.弯曲中性层
答:材料在弯曲过程中,外层受拉伸,内层受挤压,在其断面上存在的既不受拉,又不受压,应力等于零的过渡层,称为弯曲中性层。 - 13.最小弯曲半径
在板料不发生破坏的情况下,所能弯成零件内表面的最小圆角半径。 - 14.回弹现象
塑性弯曲时伴随有弹性变形,当外载荷去除后,塑性变形保留下来,而弹性变形会完全消失,使弯曲件的形状和尺寸发生变化而与模具尺寸不一致,这种现象叫回弹。 - 15.弯曲件工艺性
弯曲件的工艺性是指弯曲零件的形状、尺寸、精度、材料以及技术要求等是否符合弯曲加工的工艺要求。 - 16.冲模工艺零件
这类零件直接参与工艺过程的完成并和坯料有直接接触,包括有工作零件、定位零件、卸料与压料零件 - 17.结构零件
答:这类零件不直接参与完成工艺过程,也不和坯料有直接接触,只对模具完成工艺过程起保证作用,或对模具功能起完善作用,包括有导向零件、紧固零件、标准件及其它零件等。 - 18.冲裁
答:冲裁一般是利用一对工具,(如冲裁模的凸模与凹模或剪床上的上剪刃与下剪刃,并借助压力机的压力),对板料或已成形的工序件沿封闭或非封闭的轮廓进行断裂分离加工的各种方法。 - 19.弯曲
答:将平直的坯料弯折成具有一定角度和曲率半径的零件的成形方法称为弯曲。 - 20.拉深
答:在压力机上使用模具将平板毛坯制成带底的圆筒形件或矩形件的成形方法。
二、填空题:(每空1分)
- 1.冷冲压工艺是在常温下,在压力机上,利用模具对材料施加压力,使其产生分离或塑性变形,从而获得所需零件的一种压力加工方法。
- 2.冷冲压工序分为分离工序、塑性变形工序两大类。
- 3.普通曲柄压力机的闭合高度是指滑块在下止点位置时,滑块底面到工作台上平面之间的距离。
- 4.模具的闭合高度是指冲模处于闭合状态时,模具上座上平面至下模座下平面之间的距离。
- 5.选择压力机时,必须使模具的闭合高度介于压力机的最大闭合高度与最小闭合高度之间。
- 6.具有过载保护功能的压力机是摩擦压力机。行程可调的冲床是偏心冲床。
- 7.落料凹模在下半模的复合模称为正装复合模,结构上有三套打料装置。
- 8.落料凹模在上模的叫倒装复合模,而落料凹模在下模的叫正装复合模,其中正装复合模多一套打料装置。
- 9.要使冷冲压模具正常而平稳的工作,必须使模具压力中心与摸柄的轴心线重合(或偏移不大)。
- 10.冲模的装配是模具制造的关键工序,其要点有:(1)要合理选择装配基准件,(2).要合理选择装配组件,(3).要合理进行总体装配。
- 11.弹性卸料装置除了起卸料作用外,还兼起压料作用,它一般用于材料厚度较薄材料的卸料。
- 12.侧刃常被用于定距精度和生产效率要求高的连续模中,作用是控制条料进给方向上的进给步距。
- 13.普通模架在“国家标准”中,按照导柱导套的数量和位置不同可分为:对角导柱模架、中间导柱模架、四角导柱模架、后侧导柱模架四种。
- 14.降低冲裁力的主要措施有阶梯凸模冲裁、斜刃冲裁、加热冲裁(红冲)等。
- 15.模具的压力中心就是冲压力的作用点,求压力中心的方法就是求空间平行力系的合力作用点。
- 16.弯曲展开长度(r>0.5t时)的计算依据是弯曲前后中性层长度不变。
- 17.弯曲变形程度用相对弯曲半径(r/t)表示。
- 18.弯曲件最容易出现影响工件质量的问题弯裂、回弹和偏移等。
- 19.弯曲校正力的计算公式是F校=Ap,其中p表示单位校正力。
- 20.拉深变形程度用拉深系数m表示。
- 21.拉深模中压边圈的作用是防止工件在变形过程中发生起皱。
- 22.拉深加工时,润滑剂涂在与凹模接触的毛坯表面上。
- 23.拉深件毛坯尺寸的计算依据是体积不变原则和相似原则,其具体计算方法有等体积法、等面积法和等重量法,一般不变薄拉深简单旋转体采用等面积法。
- 24.拉深过程中的辅助工序有中间退火、润滑、酸洗等。
- 26.冲裁既可以直接冲制成品零件,又可以为其他成形工序制备毛坯。
- 27.从广义来说,利用冲模使材料相互之间分离的工序叫冲裁。它包括冲孔、落料、切断、修边、等工序。但一般来说,冲裁工艺主要是指冲孔和落料工序。
- 28.冲裁根据变形机理的不同,可分为普通冲裁和精密冲裁。
- 29.冲裁变形过程大致可分为弹性变形、塑性变形、断裂分离三个阶段。
- 30.冲裁件的切断面由圆角带、光亮带、剪裂带、毛刺四个部分组成。
- 31.圆角带是由于冲裁过程中刃口附近的材料被牵连拉入变形的结果。
- 32.光亮带是紧挨圆角带并与板面垂直的光亮部分,它是在塑性变形过程中凸模与凹模挤压切入材料,使其受到切应力和挤压应力的作用而形成的。
- 33.冲裁毛刺是在刃口附近的側面上材料出现微裂纹时形成的。
- 34.塑性差的材料,断裂倾向严重,剪裂带增宽,而光量带所占比例较少,毛刺和圆角带大;反之,塑性好的材料,光亮带所占比例较大。
- 35.增大冲裁件光亮带宽度的主要途径为:减小冲裁间隙、用压板压紧凹模面上的材料、对凸模下面的材料用顶板施加反向压力,此外,还要合理选择塔边、注意润滑等。
- 36.减小塌角、毛刺和翘曲的主要方法有:尽可能采用合理间隙的下限值保持模具刃口的锋利、合理选择塔边值、采用压料板和顶板等措施。
- 37.冲裁凸模和凹模之间的间隙,不仅对冲裁件的质量有极重要的影响,而且还影响模具寿命、冲裁力、卸料力和推件力等。
- 38.冲裁间隙过小时,将增大卸料力、推件力、冲裁力以及缩短模具寿命。
- 39.合理间隙冲裁时,上下刃口处所产生的剪裂纹基本能重合,光亮带约占板厚的1/2~1/3左右,切断面的塌角、毛刺和斜度均较小,完全可以满足一般冲裁件的要求。
- 40.间隙过小时,出现的毛刺比合理间隙时的毛刺高一些,但易去除,而且断面的斜度和塌角小,在冲裁件的切断面上形成二次光亮带。
- 41.冲裁间隙越大,冲裁件断面光亮带区域越小,毛刺越大;断面上出现二次光亮带是因间隙太小而引起的。
- 42.影响冲裁件毛刺增大的原因是刃口磨钝、间隙大。
- 43.间隙过大时,致使断面光亮带减小,塌角及斜度增大,形成厚而大的拉长毛刺。
- 44.冲裁件的尺寸精度是指冲裁件的实际尺寸与基本尺寸的差值,差值越小,则精度越高。
- 45.所选间隙值的大小,直接影响冲裁件的断面和尺寸精度。
- 46.影响冲裁件尺寸精度的因素有两大方面,一是冲模本身的制造偏差,二是冲裁结束后冲裁件相对于凸模或凹模尺寸的偏差。影响冲裁件尺寸精度的因素有间隙、材料性质、工件的形状和尺寸、材料的相对厚度t/D等,其中间隙起主导作用。
- 47.当间隙值较大时,冲裁后因材料的弹性回复使落料件尺寸小于凹模尺寸;冲孔件的孔径大于凸模尺寸。
- 48.当间隙较小时,冲裁后因材料的弹性回复使落料件尺寸大于凹模尺寸,冲孔件的孔径小于凸模尺寸。
- 49.对于比较软的材料,弹性变形量小,冲裁后的弹性回复值亦小,因而冲裁件的精度较高;对于较硬的材料则正好相反。
- 50.冲模的制造精度越高,则冲裁件的精度越高。
- 51.间隙过小,模具寿命会缩短,采用较大的间隙,可延长模具寿命。
- 52.随着间隙的增大,冲裁力有一定程度的降低,而卸料力和推料力降低明显。
- 53.凸、凹模磨钝后,其刃口处形成圆角,冲裁件上就会出现不正常的毛刺,凸模刃口磨钝时,在落料件边缘产生毛刺;凹模刃口磨钝时,在冲孔件孔口边缘产生毛刺;凸、凹模刃口均磨钝时,则制件边缘与孔口边缘均产生毛刺。消除凸(凹)模刃口圆角的方法是修磨凸(凹)模的工作端面。
- 54.冲裁间隙的数值,等于凹模与凸模刃口部分尺寸之差。
- 55.在设计和制造新模具时,应采用最小的合理间隙。
- 56.材料的厚度越大,塑性越低的硬脆性材料,则所需间隙Z值就越大;而厚度越薄、塑性越好的材料,所需间隙值就越小。
- 57.合理间隙值和许多因素有关,其主要受材料的力学性能和材料厚度因素的影响。
- 58.在冲压实际生产中,主要根据冲裁件的断面质量、尺寸精度、和模具寿命三个因素给间隙规定一个范围值。
- 59.在设计模具时,对尺寸精度、断面垂直度要求高的工件,应选用较小的间隙值;对于断面垂直度与尺寸精度要求不高的工件,以提高模具寿命为主,应选用较大的间隙值。
- 60.冲孔时,凸模刃口的尺寸应接近或等于冲孔件的最大极限尺寸。
- 61.落料件的尺寸与凹模刃口尺寸相等,冲孔件的尺寸与凸模刃口尺寸相等。
- 62.冲裁模凸模和凹模的制造公差与冲裁件的尺寸精度、冲裁间隙、刃口尺寸磨损有关。
- 63.落料时,因落料件的大端尺寸与凹模尺寸相等,应先确定凹模尺寸,即以凹模尺寸为基础,为保证凹模磨损到一定程度仍能冲出合格的零件,故落料凹模基本尺寸应取工件尺寸范围内较小尺寸,而落料凸模基本尺寸则按凹模基本尺寸减最小初始间隙。
- 64.冲孔时,因工件的小端尺寸与凸模尺寸一致,应先确定凸模尺寸,即以凸模尺寸为基础,为保证凸模磨损到一定程度仍能冲出合格的零件,故从孔凸模基本尺寸应取工件孔尺寸范围内较大尺寸,而冲孔凹模基本尺寸则按凸模基本尺寸加最小初始间隙。
- 65.凸、凹模分开加工的优点是凸、凹模具有互换性,制造周期短,便于成批生产。其缺点是模具制造公差小、模具制造困难、成本较高。
- 66.配制加工法就是先按设计尺寸加工一个基准件(凸模或凹模),然后根据基准件的实际尺寸再按间隙配作另一件。
- 67.落料时,应以凹模为基准配制凸模,凹模刃口尺寸按磨损的变化规律分别进行计算。
- 68.冲孔时,应以凸模为基准配制凹模,凸模刃口尺寸按磨损的变化规律分别进行计算。
- 69.凸、凹模分开制造时,它们的制造公差应符合δ凸+δ凹≤Zmax-Zmin的条件。
- 70.配制加工凸、凹模的特点是模具的间隙由配制保证,工艺比较简单,不必校核δ凸+δ凹≤Zmax-Zmin的条件,并且可放大基准件的制造公差,使制造容易。
- 71.冲孔用的凹模尺寸应根据凸模的实际尺寸及最小冲裁间隙配制。故在凹模上只标注基本尺寸,不标注公差,同时在零件图的技术要求上注明凹模刃口尺寸按凸模实际尺寸配制,保证双面间隙为Zmin。
- 72.冲裁件经济公差等于不高于IT11,落料件公差最好低于IT10级,冲孔件最好低于IT9级。
- 73.所谓冲裁件的工艺性,是指冲裁件对冲裁工艺的适应性。
- 74.分析冲裁件的工艺性,主要从冲裁件的结构工艺性、冲裁件的精度和冲裁件的断面质量等三方面进行分析。
- 75.冲裁件的断面粗糙度与材料塑性、材料厚度、冲裁模间隙刃口锐钝情况以及冲模的结构有关。
- 76.冲裁件在条料、带料或板料上的布置方式叫排样。
- 77.排样是否合理将影响到材料的合理利用、冲件质量、生产率、模具的结构及使用寿命等。
- 78.材料的利用率是指冲裁件实际面积与板料面积之比,它是衡量合理利用材料的指标。
- 79.冲裁产生的废料可分为两类,一类是结构废料,另一类是工艺废料。
- 80.减少工艺废料的措施是:设计合理的排样方案,选择合理的板料规格和合理的搭边值;利用废料作小零件。
- 81.排样的方法,按有无废料的情况可分为有废料排样、无废料排样和少废料排样。
- 82.对于有废料排样,冲裁件的尺寸完全由冲模来保证,因此制件的精度高,模具寿命高,但材料利用率低。无废料排样是沿直线或曲线切断条料而获得冲件,无任何搭边,冲件的质量精度要差一些,但材料利用率最高。
- 84.排样时,冲裁件之间以及冲裁件与条料侧边之间留下的工艺废料叫搭边。
- 85.搭边是一种工艺废料,但它可以补偿定位误差和料宽误差,确保制件合格;搭边还可增加条刚度,提高生产率;此外还可避免冲裁时条料边缘的毛刺被拉入模具间隙,从而提高模具寿命。
- 86.硬材料的搭边值可小一些;软材料、脆材料的搭边值要大一些。冲裁件尺寸大或者有尖突复杂形状时,搭边值取大一些;材料厚的搭边值要取大一些。
- 87.手工送料,有侧压装置的搭边值可以小,刚性卸料的比弹性卸料的搭边值大。
- 88.冲裁件尺寸大或是有尖角时,搭边值取大一些;材料厚的搭边值要取大一些。
- 89.在冲裁件过程中,冲裁力是随凸模进入材料的深度而变化的。冲裁力是指冲裁力的最大值。
- 90.在冲裁结束时,由于材料的弹性回复及磨擦的存在,将使冲落部分的材料梗塞在凹模内,而冲裁剩下的材料则紧箍在凸模上。
- 91.从凸模或凹模上卸下的废料或冲件所需的力称卸料力,将梗塞在凹模内的废料或冲件顺冲裁方向推出所需的力称,逆冲裁方向将冲件从凹模内顶出所需的力称顶料力。
- 92.采用弹压卸料装置和下出件方式冲裁时,冲压力等于冲裁力、卸料力、推料力之和;采用刚性卸料装置和下出料方式冲裁时,冲压力等于冲裁力、推料力之和;采用弹性卸料装置和上出料方式冲裁时,冲压力等于冲裁力、卸料力、推料力、顶料力之和。
- 93.为了实现小设备冲裁大工件或使冲裁过程平稳以减少压力机的震动,常用阶梯凸模冲裁法、斜刃口冲裁法和加热冲裁法来降低冲裁力。
- 94.在几个凸模直径相差较大、距离又较近的情况下,为了能避免小直径凸模由于承受材料流动的侧压力而产生的折断或倾斜现象,凸模应采用阶梯布置,即将小凸模做短一些。这样可保证冲裁时,大直径凸模先冲。
- 95.阶梯冲裁时,大凸模长度应比小凸模长度长,可以保证冲裁时大凸模先冲。
- 96.采用斜刃冲裁时,为了保证冲件平整,落料时应将凸模做成平刃;冲孔时应将凹模做成平刃。
- 97.材料加热后,由于抗剪强度降低,从而降低了冲裁力。
- 98.模具压力中心就是冲压力合力的作用点。模具的压力中心应该通过压力机滑块的中心线。如果模具的压力中心不通过压力机滑块的中心线,则冲压时滑块会承受偏心载荷,导致滑块、压力机导轨及模具导向部分零件不正常磨损;还会使合理间隙得不到保证,从而影响制件的质量和模具的寿命。
- 99.冲裁模的形式很多,按送料、出件及排除废料的自动化程度可分为手动模、半自动模和自动模等三种。
- 100.按工序组合程度分,冲裁模可分为单工序模、级进模和复合模等几种。
- 101.在压力机的一次行程中,只完成一个冲压工序的冲模称为单工序模。
- 102.在条料的送进方向上,具有两个或两个以上的工位,并在压力机的一次行程中,在不同的工位上完成两个或两个以上工位的冲压工序的冲模称为级进模。
- 103.在压力机的一次行程中,在模具的同一位置上,完成两个或两个以上冲压工序的模具叫复合模。
- 104.冲裁模具零件可分为工艺零件、结构零件。
- 105.组成冲模的零件有工作零件、定位零件、导向零件、压料、卸料和出件零件,支撑零件,紧固及其它零件等。
- 106.在冲模中,直接对毛坯和板料进行冲压加工的零件称为工艺零件。
- 107.由于级进模的工位较多,因而在冲制零件时必须解决条料或带料的定位问题,保证冲压件质量。
- 108所谓定位零件,是指用于确定条料或工序件在模具中的正确位置的零件。
- 109.所谓导向零件,是用于确定上、下模相对位置、保证位置精度的零件。
- 110.级进模中,典型的定位结构有挡料钉及导正销和侧刃等两种。
- 111.无导向单工序冲裁模的特点是结构简单,制造成本低,但使用时安装调整凸、凹模间隙较不方便,冲裁件质量差,模具寿命低,操作不安全。因而只适用于精度不高、形状简单,批量小的冲裁件的冲压。
- 112.由于级进模生产率高,便于操作,易实现生产自动化,但轮廓尺寸大,制造复杂,成本高,所以一般适用于批量大、小尺寸件的冲压生产。
- 113.由于级进模的工位较多,因而在冲制零件时必须解决条料或带料的定位问题,才能保证冲压件的质量。常用的定位零件是导正销和挡料销和侧刃。
- 114.应用级进模冲压,排样设计很重要,它不但要考虑材料的合理利用,还应考虑制件的精度要求、冲压成形规律、模具寿命等问题。
- 115级进模的排样设计时,对零件精度要求高的,除了注意采用精确的定位方法外,还应尽量减少工位数,以减少定位累积误差。孔距公差较小的孔应尽量同一工位中冲出。
- 116.在级进模的排样设计中,对孔壁距离小的制件,考虑到模具的强度,其孔可分步冲出;工位之间壁厚小的,应增设空位;外形复杂的制件,应分步冲出,以简化凸模、凹模形状,增强其强度,便于加工和装配;
- 117.需要弯曲、拉深、翻边等成形工序的零件,采用连续冲压时,位于成形过程变形部位上的孔,应安排在成形后冲出,落料或切断工步一般安排在最后工位上。
- 118.全部为冲裁工步的级进模,一般是先冲孔后落料。先冲出的孔可作为后续工位的定位孔,若该孔不适合定位或定位要求较高时,则应冲出工艺孔作定位用。
- 119.套料连续冲裁,按由里向外的顺序,先冲内轮廓后冲外轮廓。
- 120.复合模在结构上的主要特征是有一个既是冲孔的凹模又是落料凸模的凸凹模。
- 121.按照落料凹模的位置不同,复合模分为顺装复合模和倒装复合模两种。
- 122.凸凹模在上模,落料凹模在下模的复合模称为顺装复合模。
- 123.复合模的特点是生产率高,冲裁件的内孔与外形的相对位置精度高,板料的定位精度高,冲模的外形尺寸较小,但复合模结构复杂,制造精度高,成本高。所以一般用于生产批量大、精度要求高的冲裁件。
- 125.凸模的固定方式有台肩固定、铆接、螺钉和销钉固定以及粘结挤浇注固定和快换固定等。
- 126.圆形凸模常用的固定方法有台阶式和快换式。
- 101.由于模具结构的需要,凸模的长度大于极限长度,或凸模工作部分直径小于允许的最小值,就应该采用凸模护套等方法加以保护。
- 127.整体阶梯式圆形凸模强度高,刚性好,装配修磨方便。与凸模固定板配合部分按过渡配合制造。
- 128.非圆形凸模,如果固定部分为圆形,必须在固定端接缝处加防转销;以铆接法固定时,铆接部分的硬度较工作部分要低。
- 129.凹模的类型很多,按结构分有整体式和镶拼式;
- 130.直刃壁孔口凹模,其特点是刃口强度较高,修磨后刃口尺寸不变,制造较方便。
- 131.斜刃壁孔口凹模,其特点是孔口内不易积料,每次修磨量小,刃口强度较差。修磨后刃口尺寸会变大,这种刃口一般用于形状简单的冲件冲裁。
- 132.复合模的凸凹模壁厚最小值于冲模结构有关,顺装式复合模的凸凹模壁厚可小些;倒装式复合模的凸凹模壁厚应大些。
- 133.对于大中型的凸、凹模或形状复杂,局部薄弱的小型凸、凹模常采用镶拼结构。
- 134.镶拼结构的凸、凹模设计原则是:力求改善加工工艺性,减少钳工工作量,提高模具加工精度;便于装配和维修;满足冲压工艺,提高冲压件质量。
- 136.条料在模具送料平面中必须有两个方向的限位,一是在与送料方向垂直方向上的限位,保证条料沿正确的方向送进,称为送进导向。二是在送料方向上限位,控制条料一次送进长度,称为送料定距。
- 137.属于条料导向的定位零件有导料销、导料板、侧压板,属于送料定距的定位零件有始用挡料销、挡料销、导正销、侧刃等,属于块料或工序件的定位零件有定位销、定位板等。
- 138.导料销导正定位多用于单工序模和复合模中。使用导正销的目的是消除送进导向和送料定距或定位板等粗定位的误差。导正销通常与挡料销和侧刃配合使用。
- 139.条料在送进方向上的送进距离称为步距。
- 140.导料销导向定位多用于单工序模具和复合模中。
- 143.定位板和定位销作为单个毛坯或工序件的定位件定位方式由外形定位和内孔定位两种。
- 144.弹压卸料板既起压料作用,又起卸料作用,所得的冲裁件质量较好,平直度较高,因此,质量要求较高的冲裁件或薄板冲裁宜用弹压卸料装置。
- 145.小孔冲裁模与一般冲裁模的最大区别是:小孔冲裁模具有各种增强凸模刚度和强度的结构。
- 146.硬质合金冲模一般是指凸模或凹模为硬质合金。设计时要避免工作零件单边受力;便于模具装配和调整:应尽量避免斜排和交叉排样,而用直排和对排排样。
- 147.整修时,材料变形过程与冲裁不同,整修与切削加工相似。
- 148.要达到精冲的目的,需要有压料力、冲裁力、反顶力等三种压力,并要求这三种压力按顺序施压。
- 149.适宜精冲的材料应该具有低的屈服强度、小的屈服比、好的塑性。
- 152.确定冲裁模总体结构的原则是:不仅要保证冲出合格的冲压件,而且要适应生产批量的要求,结构尽量简单,制造容易,调整和维修方便,操作安全、可靠,寿命高,成本低。
- 153.精冲凸、凹模的间隙很小,一般双面间隙为材料厚度的0.5%~3%。
- 155.冲裁模类型首先决定于生产批量,冲裁件质量要求和形状尺寸是确定冲裁模类型重要依据。
- 156.按工序的组合程度分,模具可以分为单工序模、复合模和级进模。
- 157.冲裁变形分离过程可分为弹性变形阶段、塑性变形阶段和断裂分离阶段三个阶段。
- 158.冲裁件断面可明显地分成四个特征区,即塌角、光亮带、断裂带和毛刺。
- 159.降低冲裁里的主要方法有加热冲裁和斜刃冲裁。
- 160.模具的卸料方式可以分为弹压卸料和刚性卸料。
- 161.按照落料凹模的安装位置,复合模可以分为正装和倒装两种形式。
- 162.冲裁过程中板材的变形区是以凸模和凹模刃口连线为中心的纺锤形形区域。
- 163.冲裁过程中落料件的外形尺寸等于凹模尺寸,冲孔件孔的尺寸等于凸模尺寸。
- 164.冲裁过程中,当凸模切入板料到达一定深度时,首先出现裂纹的部位是凹模侧壁靠近刃口处。
- 165.在不变薄拉深中,圆形毛坯的直径是按毛坯面积等于工件面积的原则来确定的。
- 166.冲裁时可能产生的冲压力包括冲裁力、谢料力、推件力和顶件力。
三、判断题:(正确的在括号内画“√”错误的画“×”每题1分,)
- 1.模具的闭合高度可以小于压力机的闭合高度。(√)
- 2.大批量生产基本上都采用模具,所以模具的寿命越高越好。(×)
- 3.如果模具闭合高度大于冲床的最大闭合高度,就会使模具安装不上。(√)
- 4.曲柄冲床滑块允许的最大压力,随着行程位置的不同而不同。(√)
- 5.个别金属材料(如铅、锡)没有冷作硬化现象,塑性很好,所以它们很适宜用拉深方法加工制件。(×)
- 6.连接弹压卸料板时,可以选用圆柱头普通螺钉。(×)
- 7.搭边值的作用是补偿定位误差,保持条料有一定的刚度,以保证零件质量和送料方便。(√)
- 8.在连续模中,侧刃的作用是控制材料送进时的导向。(×)
- 9.普通冲裁最后分离是塑性剪切分离。(×)
- 10.精密冲裁的主要条件是:压板代齿形凸梗(齿圈)、凹模(落料)或凸模(冲孔)代销圆角、间隙极小、压边力和反顶力较大。(√)
- 11.在其它条件相同的情况下,金属材料中,硬材料的冲裁合理间隙大于软材料合理间隙。(√)
- 12.斜刃比平刃的冲裁力大。(×)
- 13.冲裁力较大的冲裁模,凸模或凹模只用螺钉固定在模座上即可。(×)
- 14.冲压模使用刚性卸料(退料)的主要优点是卸料可靠;卸料力大。(√)
- 15.冲裁变形过程中,断裂纹最早出现在凹模端面。(×)
- 16.冲裁模的间隙应当小于模具导向件的间隙。(×)
- 17.在降低冲裁件诸多措施中采用阶梯布置的凸模时,为保护小凸模,应使小凸模比大凸模高一些(×)
- 18.当采用刚性卸料装置时,其总工艺力为P∑=P+P卸+P推。(×)
- 19.标准件就是从标准件厂购买来直接装配在模具上的不需要进行任何加工的零件。(×)
- 20.在其它条件相同的情况下,弯曲线垂直于钢板轧制方向允许的弯曲半径较小。(√)
- 21.弯曲工序中,冲压用材料过厚可能造成制件回弹加大。(×)
- 22.相对弯曲半径(r/t)是表示零件结构工艺性好坏的指标之一。(√)
- 23.在其它条件相同的情况下仅凸模圆角不同,弯曲后凸模圆角半径小的回弹较小。(√)
- 24.材料的机械性能对弯曲件影响较大,其中材料的塑性越差,其允许的最小相对弯曲半径越小。(×)
- 25.弯曲件的中性层一定位于工件的1/2料厚位置(×)
- 26.后次拉深的拉深系数可取得比首次拉深的拉深系数小。(×)
- 27.拉深系数越小,说明拉深变形越大(√)
- 28.在拉深过程中,压边力过大或过小均可能造成拉裂。(√)
- 29.有一圆筒形件要分多次拉深才能成形,拉深系数可以依据有关资料的图表进行选择,每次拉深系数应该大于或等于图表推荐值。(√)
- 30.一般情况下,从拉深变形的特点考虑,拉深的凹模的圆角表面粗糙度小(√)
- 31、大批量生产基本上都采用模具,所以模具的寿命越高越好。(×)
- 32、曲柄冲床滑块允许的最大压力是随着行程位置不同而不同。(√)
- 33、搭边值的作用是补偿定位误差,保持条料有一定的刚度,以保证零件质量和送料方便。 (√)
- 34、在其他条件相同的情况下,金属材料中,硬材料的冲裁合理间隙大于软材料合理间隙。 (√)
- 35、斜刃比平刃的冲裁力大。 (× )
- 36、在降低冲裁力的诸多措施中,采用阶梯布置的凸模时,为了保护小凸模,应使小凸模比大凸模高一些。(×)
- 37、弯曲工序中,冲压用材料过厚可能造成制件回弹加大。(× )
- 38、在其他条件相同的情况下仅凸模圆角不同,弯曲后凸模圆角半径小的回弹较小。(√)
- 39、弯曲件的中性层一定位于工件1/2料厚位置。(× )
- 40、拉深系数越小,说明拉深变形程度越大。(√)
- 41、一般情况下,从拉深变形的特点考虑,拉深模的凹模的圆角表面粗糙度应比凸模的圆角表面粗糙度小些。( √)
- 42、为了便于塑件脱模,一般情况下使塑料在开模时留在定模上。(× )
- 43、塑料模的模脚(垫块)是用来调节模具总高度以适应成型设备上模具安装空间对模具总高度的要求。( × )
- 44、潜伏式浇口是点浇口变化而来的,浇口因常设在塑件侧面的较隐蔽部位而不影响塑件外观。(√ )
- 45、浇口的位置应开设在塑件截面最厚处,以利于熔体填充及补料。(√ )
- 46、拉深过程中,坯料各区的应力与应变是很均匀的。( ×)
- 47、拉深过程中,凸缘平面部分材料在径向压应力和切向拉应力的共同作用下,产生切向压缩与径向伸长变形而逐渐被拉入凹模。(×)
- 48.拉深系数 m 恒小于 1 , m 愈小,则拉深变形程度愈大。( √ )
- 49.坯料拉深时,其凸缘部分因受切向压应力而易产生失稳而起皱。( √)
- 50.拉深时,坯料产生起皱和受最大拉应力是在同一时刻发生的。( ×)
- 51.拉深系数 m 愈小,坯料产生起皱的可能性也愈小。 ( ×)
- 52. 拉深时压料力是唯一的确定值,所以调整时要注意调到准确值。( ×)
- 53.压料力的选择应在保证变形区不起皱的前提下,尽量选用小的压料力。( √ )
- 54.弹性压料装置中,橡胶压料装置的压料效果最好。( × )
- 55.拉深模根据工序组合情况不同,可分为有压料装置的拉深模和无压料装置的拉深模。(×)
- 56.拉深凸、凹模之间的间隙对拉深力、零件质量、模具寿命都有影响。间隙小,拉深力大,零件表面质量差,模具磨损大,所以拉深凸、凹模的间隙越大越好。( ×)
- 57.拉深凸模圆角半径太大,增大了板料绕凸模弯曲的拉应力,降低了危险断面的抗拉强度,因而会降低极限变形程度。( ×)
- 58.拉深时,拉深件的壁厚是不均匀的,上部增厚,愈接近口部增厚愈多,下部变薄,愈接近凸模圆角变薄愈大。壁部与圆角相切处变薄最严重。( √)
- 59.拉深变形的特点之一是:在拉深过程中,变形区是弱区,其它部分是传力区。(×)
- 60.拉深时,坯料变形区在切向压应力和径向拉应力的作用下,产生切向伸长和径向压缩的变形。( × )
- 61.拉深模根据拉深工序的顺序可分为单动压力机上用拉深模和双动压力机上用拉深模。( ×)
- 62.需要多次拉深的零件,在保证必要的表面质量的前提下,应允许内、外表面存在拉深过程中可能产生的痕迹。(√ )
- 63.所谓等面积原则,即坯料面积等于成品零件的表面积。( √ )
- 64.对于有凸缘圆筒件的极限拉深系数,如果小于无凸缘圆筒形件的极限拉深系数,则可判断:有凸缘圆筒形件的实际变形程度大于无凸缘圆筒形件的变形程度。( ×)
- 65.拉深的变形程度大小可以用拉深件的高度与直径的比值来表示。也可以用拉深后的圆筒形件的直径与拉深前的坯料 ( 工序件) 直径之比来表示。 ( √)
四、选择题:(每题2分)
- 1.在冲裁模的结构类型中精度最高是( C ).
A.单工序模B.级进模C.复合模D.简易冲模 - 2.冷冲模上模座通过(B)安装在压力机的滑块上.
A.凸模固定板B.模柄C.导柱D.垫板 - 3.在合理的冲裁间隙范围内,适当取大间隙有利于(B)
A.提高冲裁件质量 B.延长模具寿命 C.提高材料利用率. - 4.复合模与级进级模比较则( C).
A.复合模的生产效率较级进模高.B.复合模的生产安全性好于较级进模.C.复合模冲制的工件精度较级进模高. D.复合模冲制的工件的形状不受限制. - 5.当弯曲模间隙过大时,对U形弯曲件的不利影响是(C ).
A.弯裂B.翘曲C.回弹D.畸变 C. HT200 、HT250 D. H62、 H68 - 6.当工件的弯曲线方向与板料的纤维方向(A)时,可具有较小的最小弯曲半径。
A.垂直 B.成45° C.平行 D.成任意角度. - 7.曲柄压力机可分为曲柄压力机和偏心压力机,其中偏心压力机具有(B)特点。
A.压力在全行程中均衡 B.闭和高度可调,行程可调; C.闭和高度可调,行程不可调; D.有过载保护。 - 8.曲轴压力机的主要特点(BC)。
A.行程可调; B行程不可调 C.行程和吨位可较大; D.行程和吨位较小。 - 9.在连续模中,侧刃的作用是(D)
A.侧面压紧条料 B.对卸料板导向 C.控制条料送进时的导向 D控制进距(送进时的距离)实现定位。 - 10.冲裁模的间隙应当(C)模具导向件的间隙。
A.小于 B.等于 C.大于 D.小于等于 - 11.在连续模中,条料进给方向的定位有多种方法,当进距较小,材料较薄,而产生效率高时,一般选用(C)定位较合理。
A.挡料销 B 导正销 C 侧刃 D.初始挡料销 - 12.冲裁间隙对冲裁件的尺寸精度有一定影响,一般情况下,若用间隙过大时,落料件尺(B)凹模尺寸。
A.大于 B .小于 C.等于 D.无法确定 - 13.弯曲过程中常常出现的现象(ACB)。
A. 回弹 B.变形区厚度减薄; C. 偏移 D.变形区的厚度增加。 - 14.相对弯曲半径r/t表示(B)
A材料的弯曲变形极限; B零件的弯曲变形程度; C 弯曲的难易程度 - 15最小相对弯曲半径rmin/t表示(A)
A. 材料的弯曲变形极限; B.材料的弯曲变形程度 C.零件的结构工艺好坏; D.弯曲难易程度 - 16.拉深变形时,润滑剂在(A)
A毛坯与凹模接触的一面; B.工件与毛坯与凸模接触的一面; C工件与毛坯的两面。期 C.不确定 - 17.影响拉深系数的因数较多,其中(A)拉深系数值就可随之减少。
A. 材料的相对厚度(t/D)×100大; B. 屈强比()大; C .凹模圆角半径小; D. 板厚方向性系数(γ)小。 - 18.在拉深过程中,决定材料是否起皱的因素是(BD)
A 材料的相对厚度(t/D)×100; B 材料的拉深变形程度; C 材料所受的径向拉应力; D材料所受的切向压应力; - 19、拉深前的扇形单元,拉深后变为 (B)。
A 、圆形单元 B 、矩形单元 C 、环形单元 - 20 、拉深后坯料的径向尺寸 (A) ,切向尺寸(A)。
A、增大 减小 B、增大 增大 C、减小 增大 D、减小减小 - 21、拉深过程中,坯料的凸缘部分为 (B)。
A、传力区 B、变形区 C、非变形区 - 22、拉深时,在板料的凸缘部分,因受 (B)作用而可能产生起皱现象。
A、 径向压应力 B、切向压应力 C、厚向压应力 - 23、与凸模圆角接触的板料部分,拉深时厚度(B)。
A、变厚 B、变薄 C、不变 - 24、拉深时出现的危险截面是指 (B)的断面。
A、位于凹模圆角部位 B、位于凸模圆角部位 C、凸缘部位 - 25、用等面积法确定坯料尺寸,即坯料面积等于拉深件的(B) 。
A、投影面积 B、表面积 C、截面积 - 26、拉深过程中应该润滑的部位是 (A )、 (B);不该润滑部位是 (C)。
A、压料板与坯料的接触面 B、凹模与坯料的接触面 C、凸模与坯料的接触面 - 27、 (D)工序是拉深过程中必不可少的工序。
A、酸洗 B、热处理 C、去毛刺 D、润滑 E、校平 - 28、需多次拉深的工件,在两次拉深间,许多情况下都不必进行_(_B_)_。从降低成本、提高生产率的角度出发,应尽量减少这个辅助工序。
A、酸洗 B、热处理 C、去毛刺 D、润滑 E、校平 - 29、经过热处理或表面有油污和其它脏物的工序件表面,需要( A )方可继续进行冲压加工或其它工序的加工。
A、酸洗 B、热处理 C、去毛刺 D、润滑 E、校平 - 30、有凸缘筒形件拉深、其中 ( A )对 拉深系数影响最大。
A、凸缘相对直径 B、相对高度 C、相对圆角半径 - 31、在宽凸缘的多次拉深时,必须使第一次拉深成的凸缘外径等于(C )直径。
A、坯料 B、筒形部分 C、成品零件的凸缘 - 32、为保证较好的表面质量及厚度均匀,在宽凸缘的多次拉深中,可采用 _( C )_的工艺方法。
A、变凸缘直径 B、变筒形直径 C、变圆角半径 - 33、板料的相对厚度t/D较大时,则抵抗失稳能力 _(_A_)_。
A、大 B、小 C、不变 - 34、有凸缘筒形件的极限拉深系数 _(_A_)_无凸缘筒形件的极限拉深系数。
A、小于 B、大于 C、等于 - 35、无凸缘筒形件拉深时,若冲件h/d _( C )_极限h/d,则可一次拉出。
A 、大于 B、等于 C、小于 - 36、平端面凹模拉深时,坯料不起皱的条件为t/D ( C )。
A、≥(0.09~ 0.17)(m一l) B、 ≤(0.09 ~ 0.17)(l/m一l) C 、≥ (0.09 ~0017)(1一m) - 37、为了使材料充分塑性流动,拉深时坯料形状与拉深件横截面形状是_(_B_)_ 。
A、等同的 B、近似的 C、等面积的 - 38、当任意两相邻阶梯直径之比( )都不小于相应的圆筒形的极限拉深系数时,其拉深方法是 _(_B_)_。
A、由小阶梯到大阶梯依次拉出 B、由大阶梯到小阶梯依次拉出 C、先拉两头,后拉中间各阶梯 - 39、下面三种弹性压料装置中, __(_C_)_的压料效果最好。
A、弹簧式压料装置 B、橡胶式压料装置 C、气垫式压料装置 - 40、利用压边圈对拉深坯料的变形区施加压力,可防止坯料起皱,因此,在保证变形区不起皱的前提下,应尽量选用 (_B_)_。
A、大的压料力 B、小的压料力 C、适中的压料力 - 41、有凸缘圆筒形件的拉深系数 ,从上式可以看出参数_(_A_)对拉深系数影响最大。
A 、 B 、 C、R/d - 42、通常用(_C_)值的大小表示圆筒形件拉深变形程度的大小(_C_)愈大,变形程度愈小,反之亦然。
A 、 B、K C、m - 43、在拉深工艺规程中,如果选用单动压力机,其公称压力应(_B_)工艺总压力,且要注意,当拉深工作行程较大时,应使工艺力曲线位于压力机滑块的许用曲线之下。
A、 等于 B、 小于 C、 大于 - 44.胀形、翻边、缩口等成形工艺,其变形的共同特点是:(A)
A.局部变形 B.伸长类变形 C.压缩类变形 D.回弹变形 - 45.在成批生产的弯曲模具中,工作零件凸模、凹模的材料常选用(B)
A. Q235、Q275 B. 9Mn2v 、Cr12 - 46、冲裁变形过程中的塑性变形阶段形成了 (A)_。
A 、光亮带 B 、毛刺 C 、断裂带 - 47、模具的合理间隙是靠 _ C _刃口尺寸及公差来实现。
A 、凸模 B 、凹模 C 、凸模和凹模 D 、凸凹模 - 48、落料时,其刃口尺寸计算原则是先确定 A 。
A 、凹模刃口尺寸 B 、凸模刃口尺寸 C 、凸、凹模尺寸公差 - 49、当冲裁间隙较大时,冲裁后因材料弹性回复,使冲孔件尺寸 _A _凸模尺寸,落料件尺寸 _ A__凹模尺寸。
A 、大于,小于 B 、大于,大于 C 、小于,小于 D 、小于,大于 - 50、对 T 形件,为提高材料的利用率,应采用 C 。
A 、多排 B 、直对排 C 、斜对排 - 选择题
- 51、冲裁多孔冲件时,为了降低冲裁力,应采用(A)的方法来实现小设备冲裁大冲件。
A 、阶梯凸模冲裁 B 、斜刃冲裁 C 、加热冲裁 - 52、斜刃冲裁比平刃冲裁有(C)的优点。
A 、模具制造简单 B 、冲件外形复杂 C 、冲裁力小 - 53、为使冲裁过程的顺利进行,将梗塞在凹模内的冲件或废料顺冲裁方向从凹模孔中推出,所需要的力称为(A)。
A 、推料力 B 、卸料力 C 、顶件力 - 54、模具的压力中心就是冲压力(_ C _)的作用点。
A 、最大分力 B 、最小分力 C 、合力 - 55、冲制一工件,冲裁力为 F ,采用刚性卸料、下出件方式,则总压力为(_ B _)。
A 、冲裁力 + 卸料力 B 、冲裁力 + 推料力 C 、冲裁力 + 卸料力 + 推料力 - 56、如果模具的压力中心不通过滑块的中心线,则冲压时滑块会承受偏心载荷,导致导轨和模具导向部分零件(_ B _)。
A 、正常磨损 B 、非正常磨损 C 、初期磨损 - 57、冲裁件外形和内形有较高的位置精度要求,宜采用(_ C _)。
A 、导板模 B 、级进模 C 、复合模 - 58、用于高速压力机上的模具是(_ B)。
A 、导板模 B 、级进模 C 、复合模 - 59、用于高速压力机的冲压材料是(C _)。
A 、板料 B 、条料 C 、卷料 - 60 、对步距要求高的级进模,采用(_ B)的定位方法。
A 、固定挡料销 B 、侧刃 + 导正销 C 、固定挡料销 + 始用挡料销 - 61、材料厚度较薄,则条料定位应该采用(_ C _)。
A 、固定挡料销 + 导正销 B 、活动挡料销 C 、侧刃 - 62 、导板模中,要保证凸、凹模正确配合,主要靠(_ B _)导向。
A 、导筒 B 、导板 C 、导柱、导套 - 63、在导柱式单工序冲裁模中,导柱与导套的配合采用(_ C _)。
A 、 H7/m6 B 、 H7/r6 C 、 H7/h6 - 64 、由于级进模的生产效率高,便于操作,但轮廓尺寸大,制造复杂,成本高,所以一般适用于(__ A __)冲压件的生产。
A 、大批量、小型 B 、小批量、中型 C 、小批量、大型 D 、大批量、大型 - 65 、推板或顶板与凹模呈(_ A _)配合,其外形尺寸一般按公差与配合国家标准(_ F __)制造。
A 、间隙 B 、过渡 C 、过盈 D 、 H8 E 、 m6 F 、 h8 - 66 、侧刃与导正销共同使用时,侧刃的长度应(_ C _)步距。
A 、≥ B 、≤ C 、> D 、< - 67 、对于冲制小孔的凸模,应考虑其(_ A _)
A 、导向装置 B 、修磨方便 C 、连接强度 - 68 、精度高、形状复杂的冲件一般采用(A _)凹模形式。
A 、直筒式刃口 B 、锥筒式刃口 C 、斜刃口 - 69 、为了保证凹模的壁厚强度,条料定位宜采用(A _)。
A 、活动挡料销 B 、始用挡料销 C 、固定挡料销 - 70 、弹性卸料装置除起卸料作用外,还有(C)的作用。
A 、卸料力大 B 、平直度低 C 、压料作用 - 71、压入式模柄与上模座呈(A _)的配合,并加销钉以防转。
A 、 H7/m6 B 、 M7/m6 C 、 H7/h6 - 72 、中、小型模具的上模是通过(B _)固定在压力机滑块上的。
A 、导板 B 、模柄 C 、上模座 - 73 、大型模具或上模座中开有推板孔的中、小型模具应选用(_ B _)模柄。
A 、旋入式 B 、带凸缘式 C 、压入式 - 74 、旋入式模柄是通过(B)与上模座连接。
A 、过渡配合 B 、螺纹 C 、螺钉 - 75、小凸模冲孔的导板模中,凸模与固定板呈(A)配合。
A 、间隙 B 、过渡 C 、过盈 - 76 、对角导柱模架上、下模座,其工作平面的横向尺寸一般(_ C)于纵向尺寸,常用于(_A _)。
A 、横向送料的级进模 B 、纵向送料的单工序模或复合模 C 、大 - D 、纵向送料的级进模 E 、小 F 、横向送料的单工序模或复合模
- 77 、能进行三个方向送料,操作方便的模架结构是(B)。
A 、对角导柱模架 B 、后侧导柱模架 C 、中间导柱模架 - 78 、为了保证条料定位精度,使用侧刃定距的级进模可采用(B _)。
A 、长方形侧刃 B 、成型侧刃 C 、尖角侧刃 - 79 、中间导柱模架,只能(C _)向送料,一般用于(B)。
A 、级进模 B 、单工序模或复合模 C 、纵 D 、横 - 80 、四角导柱模架常用于(A _)。
A 、自动模 B 、手工送料模 C 、横向送料手动模 - 81 、凸模与凸模固定板之间采用(A)配合,装配后将凸模端面与固定板一起磨平。
A 、 H7/h6 B 、 H7/r6 C 、 H7/m6 - 82、冲裁大小不同、相距较近的孔时,为了减少孔的变形,应先冲(A _)和(__ D)的孔,后冲(_ B _)和(_ C _)的孔。
A 、大 B 、小 C 、精度高 D 、一般精度 - 83、整修的特点是(_ A _)。
A 、类似切削加工 B 、冲压定位方便 C 、对材料塑性要求较高
五、简答题:(每题8分)
- 1.什么是冷冲压加工?冷冲压成形加工与与其他加工方法相比有何特点?
答:冷冲压加工是在室温下,利用安装在压力机上的模具对材料施加压力,使其产生分离或塑形变行,从而获得所需零件的一种压力加工方法。
冷冲压加工与其他加工方法相比,无论在技术方面,还是在经济方面,都具有许多独特的特点。生产的制件所表现出来的高精度、高复杂程度、高一致性、高生产率和抵消耗,是其他加工制造方法所不能比拟的。但需要指出的是,由于进行冲压成形加工必须具备相应的模具,而模具是技术密集型产品,其制造属单件小批量生产,具有加工难、精度高、技术要求高、生产成本高的特点。所以,只有在冲压零件生产批量大的情况下,冲压成形加工的优点才能充分体现,从而获得好的经济效益。 - 2.什么是冷冲模?它有何特点?
答:在冷冲压加工中,将材料(金属或非金属)加工成零件(或半成品)的一种特殊工艺装备,称为冷冲压模具。俗称冷冲模。
特点:冷冲模在实现冷冲压加工中是必不可少的工艺装备,与冲压件是“一模一样”的关系,若没有符合要求的冷冲模,就不能生产出合格的冷冲压件;没有先进的冷冲模,先进的冷冲压成形工艺就无法实现。 - 3.板料冲裁时,其断面特征怎样?影响冲裁件断面质量的因素有哪些?
答:板料冲裁时,冲裁件的断面明显的分成四个特征区;即圆角带、光亮带、断裂带与毛刺区。
影响断面质量的因素有:
(1).材料性能.
(2).模具间隙
(3).模具刃口状态 - 4. 影响冲裁件尺寸精度的因素有哪些?
答:一些冲裁件尺寸精度的因素有:压力机的精度、冲模的制造精度、材料性质、冲裁间隙、模具刃口状态等。 - 5.确定冲裁工艺方案的依据是什么?冲裁工艺的工序组合方式根据什么来确定?
答:确定冲裁工艺方案的依据是劳动量和冲裁件成本。冲裁工序的组合方式可根据下列因素确定:
(1).生产批量
(2)冲裁件尺寸和精度等级
(3)冲裁件尺寸形状的适应性
(4)模具制造安装调整的难易和成本的高低
(5)操作是否方便和安全 - 6、什么是冷冲压加工?冷冲压成形加工与其它加工方法相比有何特点?
答:冷冲压加工是在室温下进行的,利用安装在压力机上的模具对材料施加压力,使其产生分离或塑性变形,从而获得所需零件的一种压力加工方法。
冷冲压加工与其它加工方法相比,无论在技术方面,还是在经济性方面都具有许多独特的优点。主要表现在:高生产效率、高复杂性、低消耗、高寿命。 - 7、板料冲裁时,其断面特征怎样?影响冲裁件断面质量的因素有哪些?
答:板料冲裁时,冲裁件的断面明显地分成四个特征区:即圆角带、光亮带、断裂带与毛刺区。
影响断面质量的因素有:(1)材料性能;(2)模具间隙;(3)模具刃口状态。 - 8、确定冲裁工艺方案的依据是什么?冲裁工艺的工序组合方式根据什么来确定?
答:确定冲裁工艺方案的依据是劳动量和冲裁件成本。冲裁工序的组合方式可根据下列因素确定:(1)生产批量;(2)冲裁件尺寸和精度等级;(3)冲裁件尺寸形状的适应性;(4)模具制造安装调整的难易和成本的高低;(5)操作是否方便与安全。 - 12、简述弯曲件的结构工艺性。
答:弯曲件的工艺性是指弯曲变形区与零件的形状、尺寸、精度、材料以及技术要求等是否符合弯曲加工的工艺要求。 - 14、拉深件坯料尺寸的计算遵循什么原则?
答:拉深件坯料尺寸的计算遵循体积不变原则和相似原则。 - 15、 什么是冲裁工序?它在生产中有何作用?
答:利用安装在压力机上的冲模,使板料的一部分和另一部分产生分离的加工方法,就称为冲裁工序。
冲裁工序是在冲压生产中应用很广的一种工序方法,它既可以用来加工各种各样的平板零件,如平垫圈、挡圈、电机中的硅钢片等,也可以用来为变形工序准备坯料,还可以对拉深件等成形工序件进行切边。 - 16、冲裁的变形过程是怎样的?
答:冲裁的变形过程分为三个阶段如图图 2.1.3 所示:从凸模开始接触坯料下压到坯料内部应力数值小于屈服极限,这是称之为弹性变形阶段 ( 第一阶段 ) ;如果凸模继续下压,坯料内部的应力达到屈服极限,坯料开始产生塑性变形直至在刃口附近由于应力集中将要产生裂纹为止,这是称之为塑性变形阶段 ( 第二阶段 ) ;从在刃口附近产生裂纹直到坯料产生分离,这就是称之为断裂分离阶段 ( 第三阶段 ) 。 - 20、什么是冲模的压力中心?确定模具的压力中心有何意义?
答: 冲模的压力中心就是模具在冲压时,被冲压材料对冲模的各冲压力合力的作用点位置,也就是冲模在工作时所受合力的作用点位置。在设计模具时,必须使冲模的压力中心与压力机滑块的中心线重合,否则,压力机在工作时会受到偏心载荷的作用而使滑块与导轨产生不均匀的磨 损,从而影响压力机的运动精度,还会造成冲裁间隙的不均匀,甚至使冲模不能正常工作。因此,设计冲模时,对模具压力中心的确定是十分重要的 , 在实际生产中,只要压力中心不偏离模柄直径以外也是可以的。 - 五、简单题
- 21、什么叫搭边?搭边有什么作用?
答: 排样时,工件与工件以及工件与条料侧边之间留下的工艺余料,称为搭边。搭边的作用是:补偿送料误差,使条料对凹模型孔有可靠的定位,以保证工件外形完整,获得较好的加工质量。保持条料有一定的刚度,以保证零件质量和送料方便。搭边太大,浪费材料;太小,会降低工 件断面质量,影响工件的平整度,有时还会出现毛刺或搭边被拉进凸模与凹模的间隙里,造成冲模刃口严重磨损。影响模具寿命。 - 23、怎样选择凸模材料?
答: 凸模的刃口要求有较高的耐磨性,并能承受冲裁时的冲击力,因此,凸模应该有较高的硬度与适当的韧性。一般,形状简单、模具寿命要求不高的凸模,可选用 T8A 、 T10A 等材料;形状复杂、模具寿命要求高的凸模,应该选用 Cr12 、 Cr12MoV 、CrWMn 等材料;要求高寿命、高耐磨模具的凸模,可选用硬质合金制造。凸模的硬度,一般为 HRC58 ~ 62 。 - 24、什么条件下选择侧刃对条料定位?
答:一般在下列情况下,采用侧刃来控制条料的送进步距:(1) 、级进模中,一般采用侧刃来控制条料的送进步距。这样,可以提高生产率。 (2) 、当冲裁窄而长的工件时,由于步距小,采用定位钉定位困难,这时也采用侧刃来控制条料的送进步距。(3) 、当需要切除条料的侧边作为工件的外形时,往往采用侧刃定距。 (4) 、当被冲材料的厚度较薄( t <0.5 mm )时,可以采用侧刃定距。 - 25、什么情况下采用双侧刃定位?
答:当被冲材料的宽度较大而厚度较小、工位数目较多以及冲裁件的精度要求较高时,可以采用双侧刃。采用双侧刃时, 两个侧刃可以对称布置。这时,可以降低条料的宽度误差,提高工件的精度。这种布置方法常用于带料或卷料冲压中。而将两个侧刃一前一后的布置,往往用于工步较多的条料冲压中,这样可以节约料尾。用双侧刃定距时,定位精度高,但材料的利用率要低一些。 - 26、凸模垫板的作用是什么?如何正确的设计垫板?
答:冲模在工作时,凸模要承受很大的冲裁力,这个力通过凸模的固定端传递到上模座。如果作用在模座上的力大于其许用应力时,就会在模板上压出凹坑,从而影响凸模的正确位置。为了避免模座的损坏,在凸模固定板和上模座之间加装一块淬硬的垫板。在复合模的凸凹模固定板与 模座之间,因为同样的原因也需要加装一块垫板。设计时,一般根据需要在国标中选取标准的垫板型号。一般垫板的的形状和尺寸大小与凹模板相同。材料选用 T7 、 T8 钢,热处理的淬火硬度为48 ~ 52HRC ,上下表面的粗糙度为 Ra0.8 以下。 - 28、卸料板型孔与凸模的关系是怎样的?
答:(1) 、在固定卸料装置中,当卸料板仅仅起卸料作用时,卸料板型孔与凸模的间隙随材料厚度的增加而增大,一般取单边间隙( 0.2~ 0.5 ) t 。当固定卸料板除卸料的作用外,还要对凸模进行导向,这时,卸料板型孔与凸模的配合间隙应该小于冲裁间隙。(2) 、弹压卸料装置中,卸料板型孔与凸模之间的单面间隙取( 0.1 ~ 0.2 ) t 。若弹压卸料板还要起对凸模的导向作用时,同样,卸料板型孔与凸模的配合间隙应该小于冲裁间隙。 - 29、什么是顺装复合模与倒装复合模?
答:根据落料凹模是在模具的上模还是下模,将复合模分成顺装复合模和倒装复合模。其中,落料凹模在下模的复合模称为顺装复合模,落料凹模在上模的复合模称为倒装复合模。 - 33、简述固定卸料顺出件这种结构的优点和缺点。
答:优点:1.模具结构简单;2.用手送料时人手不易进入危险区,比较安全。 缺点:1.废料容易上翘,卸料时反向翻转,对凸模刃口侧面的磨损严重;2.凹模刃口附近有异物时不易发现。 - 34、简述凸模结构设计的三原则。
答:精确定位 凸模安装到固定板上以后,在工作过程中其轴线或母线不允许发生任何方向的移位,否则将造成冲裁间隙不均匀降低模具寿命,严重时可造成肯模。
防止拔出 回程时,卸料力对凸模产生拉伸作用。凸模的结构应能防止凸模从固定板中拔出来。
防止转动 对于工作段截面为圆形的凸模,不存在防转的问题,对于工作段不是圆形的凸模,必须保证凸模在工作过程中不发生转动,否则将啃模。 - 35、简述影响冲裁刃口磨损的因素。
答:冲裁间隙: 间隙过小,刃口磨损严重,模具寿命较低。 冲裁轮廓形状: 冲裁轮廓复杂,有尖角时,在尖角处磨损严重,模具寿命较低。 润滑: 有润滑可以降低摩擦系数,减少磨损。板料种类: 板料越硬,越粘磨损越严重。冲裁模具: 模具装配的好坏对刃口的磨损有影响,凸模深入凹模越多,磨损越严重。压力机:压力机的刚性,压力机的额定压力都会影响刃口磨损。 - 37.弯曲时的变形程度用什么来表示?为什么可用它来表示?弯曲时的极限变形程度受那些因素的影响?
答:生产中常用来表示板料弯曲变形程度的大小. - 称为相对弯曲半径, 越小,板料表面的切向变形程度越大,因此,生产中常用来表示板料弯曲变形程度的大小.
- 弯曲时的极限变形程度的影响因素有:①材料的塑性和热处理状态;②坯料的边缘及表面状态;③弯曲线与钢板纤维方向是否垂直;④弯曲角.
- 38.简述弯曲件的结构工艺性.
答:弯曲件的工艺性是指弯曲变形区与零件的形状、尺寸、精度、材料以及技术要求等是符合弯曲加工的工艺要求. - 40、板料冲裁时,其断面特征怎样?影响冲裁件断面质量的因素有哪些?
答:板料冲裁时,冲裁件的断面明显地分成四个特征区:即圆角带、光亮带、断裂带与毛刺区。影响断面质量的因素有:(1)材料性能;(2)模具间隙;(3)模具刃口状态。 - 41、确定冲裁工艺方案的依据是什么?冲裁工艺的工序组合方式根据什么来确定?
答:确定冲裁工艺方案的依据是劳动量和冲裁件成本。冲裁工序的组合方式可根据下列因素确定:(1)生产批量;(2)冲裁件尺寸和精度等级;(3)冲裁件尺寸形状的适应性;(4)模具制造安装调整的难易和成本的高低;(5)操作是否方便与安全。
六、论述题:(每题12分)
- 1、影响弯曲变形回弹的因素是什么?采取什么措施能减小回弹?
答:影响弯曲变形回弹的因素有:(1)材料的力学性能;(2)相对弯曲半径r/t;(3)弯曲中心角α;(4)弯曲方式及弯曲模;(5)工件的形状。
减小回弹的措施有:
(1)改进弯曲件的设计,尽量避免选用过大的相对弯曲半径r/t 。如有可能,在弯曲区压制加强筋,以提高零件的刚度,抑制回弹;尽量选用小、力学性能稳定和板料厚度波动小的材料。
(2)采取适当的弯曲工艺:①采用校正弯曲代替自由弯曲;②对冷作硬化的材料须先退火,使其屈服点降低。对回弹较大的材料,必要时可采用加热弯曲。③弯曲相对弯曲半径很大的弯曲件时,由于变形程度很小,变形区横截面大部分或全部处于弹性变形状态,回弹很大,甚至根本无法成形,这时可采用拉弯工艺。
(3)合理设计弯曲模。 - 2(44)、拉深工序中的起皱、拉裂是如何产生的,如何防止它?
答:拉深工序中产生起皱的原因有两个方面:一方面是切向压应力的大小,越大越容易失稳起皱;另一方面是凸缘区板料本身的抵抗失稳的能力,凸缘宽度越大,厚度越薄,材料弹性模量和硬化模量越小,抵抗失稳能力越小。防皱措施:主要方法是在模具结构上采用压料装置,加压边圈,使坯料可能起皱的部分被夹在凹模平面与压边圈之间,让坯料在两平面之间顺利地通过。采用压料筋或拉深槛,同样能有效地增加径向拉应力和减少切向压应力的作用,也是防皱的有效措施。
拉深工序中产生拉裂主要取决于两个方面:一方面是筒壁传力区中的拉应力;另一方面是筒壁传力区的抗拉强度。当筒壁拉应力超过筒壁材料的抗拉强度时,拉深件就会在底部圆角与筒壁相切处一一“危险断面”产生破裂。防止拉裂的措施:一方面要通过改善材料的力学性能,提高筒壁抗拉强度;另一方面是通过正确制定拉深工艺和设计模具,合理确定拉深变形程度、凹模圆角半径、合理改善条件润滑等,以降低筒壁传力区中的拉应力。 - 3(39).弯曲过程中坯料可能产生偏移的原因有哪些?如何减小和克服偏移?
答:在弯曲过程中凡造成工件变形阻力不对称的因素都将造成工件偏移.例如,弯曲件形状不对称,弯曲件在模具上的阻力不对称,冲压方向不同造成的弯曲件滑动阻力不对称等.
措施:在坯料上预先增添定位工艺孔;当弯曲件几何形状不对称时,为避免压弯时坯料偏移,应尽量采用成对弯曲然后在切成两件的工艺;V形弯曲模,由于有顶板及定料销,可以有效防止弯曲时坯料的偏移;有顶板和定位销的Z形件弯曲模,能有效防止坯料的偏移;
为了防止坯料偏移;应尽量利用零件上的孔,用定位销定位,定位销装在顶板上时应注意防止应注意防止顶、板与凹模之间产生窜动。工件无孔时可采用定位尖定位(图3.81b)顶杆顶板等措施防止坯料偏移. - 4(27)、常用的卸料装置有哪几种?在使用上有何区别?
答:常用的卸料装置分为刚性卸料装置和弹压卸料装置两大类。
(1) 、刚性卸料装置:刚性卸料装置常用固定卸料板的结构形式,即:卸料板是用螺钉将其固定在下模部分,再用销钉定位这样一种安装方式。刚性卸料装置的卸料板在工作时,不能将被冲材料压住,所以工件的有明显的翘曲现象,但卸料力大。因此,常用于较厚、较硬且精度要求不高的工件冲裁模中。
(2) 、弹压卸料装置:弹压卸料装置中的弹压卸料板具有卸料和压料的双重作用,主要用于冲裁厚度在 1.5mm 以下的模具中。冲裁前,弹压卸料板首先将毛坯压住,当上模随压力机的滑块继续向下运动时,凸模再伸出弹压卸料板的下端面进行冲压加工。所以,工件的平整度较好。 - 5(22)、怎样确定冲裁模的工序组合方式?
答: 确定冲裁模的组合方式时,一般根据以下条件:
(1) 、生产批量的大小。从提高冲压件生产率角度来考虑,选用复合模和级进模结构要比选择单工序模好得多。一般来说,小批量和试制生产时采用单工序模具,中批和大批生产时,采用复合冲裁模和级进冲裁模。
(2) 、工件尺寸公差等级。单工序模具冲出的工件精度较低,而级进模最高可达 IT12 ~ IT13 级,复合模由于避免了多次冲压时的定位误差,其尺寸精度最高能达到 IT9 级以上,再加上复合模结构本身的特点,制件的平整度也较高。因此,工件尺寸公差等级较高时,宜采用复合模的结构。
(3) 、从实现冲压生产机械化与自动化生产的角度来说,选用级进模比选用复合模和单工序模具容易些。这是因为,复合模得废料和工件排除较困难。
(4) 、从生产的通用性来说,单工序模具通用性最好,不仅适合于中小批量的中小型冲压件的生产,也适合大型冲压件的生产。级进模不适合大型工件的生产。
(5) 、从冲压生产的安全性来说,级进模比单工序模和复合模为好。
综上所述,在确定冲裁模的工序组合方式时,对于精度要求高、小批量及试制生产或工件外形较大,厚度又较厚的工件,应该考虑用单工序模具。而对精度要求高、生产批量大的工件的冲压,应采用复合模;对精度要求一般,又是大批量生产时,应采用级进模结构。 - 6(19)、降低冲裁力的措施有哪些?
答:当采用平刃冲裁冲裁力太大,或因现有设备无法满足冲裁力的需要时,可以采取以下措施来降低冲裁力,以实现“小设备作大活”的目的:
1、采用加热冲裁的方法:当被冲材料的抗剪强度较高或板厚过大时,可以将板材加热到一定温度(注意避开板料的“蓝脆”区温度)以降低板材的强度,从而达到降低冲裁力的目的。
2、采用斜刃冲裁的方法:冲压件的周长较长或板厚较大的单冲头冲模,可采用斜刃冲裁的方法以降低冲裁力。为了得到平整的工件,落料时斜刃一般做在凹模上;冲孔时斜刃做在凸模上,如图4.10所示。
3 、采用阶梯凸模冲裁的方法:将多凸模的凸模高度作成高低不同的结构。由于凸模冲裁板料的时刻不同,将同时剪断所有的切口分批剪断,以降低冲裁力的最大值。但这种结构不便于刃磨,所以仅在小批量生产中使用。 - 7(18)、什么是冲裁间隙?冲裁间隙对冲裁质量有哪些影响?
答: 冲裁间隙是指冲裁凹模、凸模在横截面上相应尺寸之间的差值。该间隙的大小,直接影响着工件切断面的质量、冲裁力的大小及模具的使用寿命。
当冲裁模有合理的冲裁间隙时,凸模与凹模刃口所产生的裂纹在扩展时能够互相重合,这时冲裁件切断面平整、光洁,没有粗糙的裂纹、撕裂、毛刺等缺陷,如图 2.1.6 所示。工件靠近凹模刃口部分,有一条具有小圆角的光亮带,靠近凸模刃口一端略成锥形,表面较粗糙。
当冲裁间隙过小时,板料在凸、凹模刃口处的裂纹则不能重合。凸模继续压下时,使中间留下的环状搭边再次被剪切,这样,在冲裁件的断面出现二次光亮带,如图 4-5b 所示 , 这时断面斜度虽小,但不平整,尺寸精度略差。
间隙过大时,板料在刃口处的裂纹同样也不重合,但与间隙过小时的裂纹方向相反,工件切断面上出现较高的毛刺和较大的锥度。
- 8(17)、普通冲裁件的断面具有怎样的特征?这些断面特征又是如何形成的?
答:普通冲裁件的断面一般可以分成四个区域,如图 2.1.5 所示,既圆角带、光亮带、断裂带和毛刺四个部分。 圆角带的形成发生在冲裁过程的第一阶段(即弹性变形阶段)主要是当凸模刃口刚压入板料时,刃口附近的材料产生弯曲和伸长变形,使板料被带进模具间隙从而形成圆角带。
光亮带的形成发生在冲裁过程的第二阶段(即塑性变形阶段),当刃口切入板料后,板料与模具侧面发生挤压而形成光亮垂直的断面(冲裁件断面光亮带所占比例越大,冲裁件断面的质量越好)。
断裂带是由于在冲裁过程的第三阶段(即断裂阶段),刃口处产生的微裂纹在拉应力的作用下不断扩展而形成的撕裂面,这一区域断面粗糙并带有一定的斜度。
毛刺的形成是由于在塑性变形阶段的后期,凸模和凹模的刃口切入板料一定深度时,刃尖部分呈高静水压应力状态,使微裂纹的起点不会在刃尖处产生,而是在距刃尖不远的地方发生。随着冲压过程的深入,在拉应力的作用下,裂纹加长,材料断裂而形成毛刺。对普通冲裁来说, 毛刺是不可避免的,但我们可以通过控制冲裁间隙的大小使得毛刺的高度降低。
图 2.1.5 冲裁件的断面特征
a— 圆角带; b— 光亮带; c— 断裂带; d— 毛刺
七、分析计算题:
1.如题图所示零件,材料为Q235,料厚为2㎜.试确定凸、凹模分开加工时的刃口尺寸。(15分)

解: (1)刃口尺寸计算列于下表中:

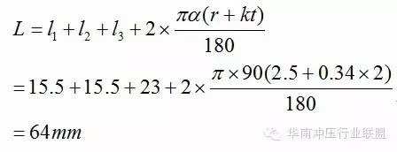
2.计算题图所示弯曲件的坯料长度,已知图a中性层偏移数为k=0.34,图中性层偏移系数k=0.5.(12分)

a)解:因r>0.5t 故:

b)解:

3、计算题图所示弯曲制件的模具工作部分尺寸并标注公差,已知,尺寸32公差值为14级(32-0.62mm),间隙系数C=0.05。并画出模具草图(15分)

解:

4.(10分)如图所示弯件零件的坯料展开长度。已知,t=2mm,r=5mm,l1=45mm ,l2=40mm,α=114°弯曲时中性层位移系数K值按下表取:
r/t | 1.3 | 1.5 | 2.0 | 2.5 |
k | 0.34 | 0.36 | 0.38 | 0.39 |

解:
因r/t=5/2=2.5 查表k=0.39

六、说明下例模具属何种类型?并指出图中各序号零件的名称。(12分)

该模具属倒装式复合模。
各零件名称如下:
1——凸凹模 2——挡料销 3——凹模板 4——定位销 5——推件块 6、7——冲孔凸模
8——打料杆 9——推板 10——连接推杆 11——卸料板
七、说明下例模具属何种类型?并指出图中各序号零件的名称。(12分)
该模具为单工序冲孔模。
各零件名称如下:
1—— 模柄2——上模座(正模板)3——凸模固定板 4——橡皮 5——凸模
6——定位销7——凹模固定板8——凹模9——下模座(下模板)

上一条新闻:精冲技术在中国的发展和应用
下一条新闻:精冲变形过程细观模型